La Wallonie poursuit activement le développement des infrastructures de recharge pour véhicules électriques afin de répondre aux objectifs européens en matière de carburants alternatifs. Dans ce cadre, la SOFICO et le Service public de Wallonie Mobilité et Infrastructures (SPW MI) coordonnent leurs actions pour assurer la mise en œuvre du règlement européen AFIR (Alternative Fuels Infrastructure Regulation), en particulier sur le réseau autoroutier structurant.
La SOFICO a d’ores et déjà démontré sa capacité d’action en atteignant avec un an d’avance l’objectif du projet 91c du Plan national de relance et de résilience (PNRR) 2020-2025, qui visait à développer et déployer des bornes de recharge rapide sur le réseau structurant. Cet objectif consistait à installer 11.000 kW de capacité supplémentaire en recharge électrique haute puissance (HPC) par rapport à la situation de référence.
Ce résultat a été obtenu sans subside public direct. Ce déploiement octroie de facto une augmentation des redevances perçues par la SOFICO sur les recharges électriques, témoignant du dynamisme croissant du marché de la mobilité électrique sur les autoroutes wallonnes.

Une mise en œuvre coordonnée du règlement AFIR
Le suivi de la mise en œuvre du règlement AFIR en Wallonie est assuré par le SPW Mobilité et Infrastructures, qui coordonne les travaux relatifs aux carburants alternatifs et la concertation interfédérale avec la Flandre, Bruxelles et les autorités fédérales.
Pour les infrastructures situées sur le réseau transeuropéen de transport (RTE-T), la SOFICO et l’administration portent conjointement la responsabilité d’atteindre les objectifs fixés par le règlement.

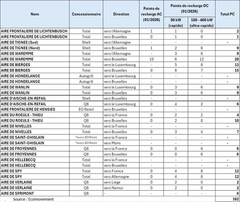
En matière de recharge des véhicules légers, les exigences du premier jalon AFIR de 2026 sont déjà respectées sur le réseau RTE-T wallon géré par la SOFICO. Cette conformité repose notamment sur l’équipement progressif des aires autoroutières de type 1 et 2 en bornes de recharge rapide, complété dans certains cas par la présence d’opérateurs privés situés à moins de trois kilomètres des accès autoroutiers.
Au-delà du réseau RTE-T, le SPW Mobilité et Infrastructures assure également le suivi du respect de l’exigence AFIR relative à la puissance minimale de recharge disponible sur l’ensemble du territoire wallon, fixée à 1,3 kW par véhicule électrique à batterie (BEV) et 0,8 kW par hybride rechargeable (PHEV).
Préparer la recharge des poids lourds électriques
Le principal défi concerne aujourd’hui la recharge des poids lourds électriques. Sur certains axes autoroutiers, les limites actuelles du réseau électrique ne permettent pas encore l’installation de stations de recharge haute puissance adaptées à ces véhicules.
Toutefois, le marché de la recharge pour poids lourds demeure émergent et son développement à grande échelle est attendu à l’horizon 2030.
Afin d’anticiper ces évolutions et de répondre aux exigences des prochains jalons AFIR (2028, 2030 et 2035), la SOFICO a conclu des accords avec les gestionnaires de réseau de distribution (GRD) pour organiser un renforcement ciblé des capacités électriques le long du réseau autoroutier wallon.
Ces travaux permettront d’acheminer la puissance nécessaire vers les aires autoroutières et d’y installer des infrastructures de recharge rapide tant pour les véhicules légers que pour les poids lourds. Le renforcement du réseau sera progressivement déployé au cours des cinq prochaines années sur les aires de type 1 et 2 ainsi que sur certaines aires transfrontalières.
Ces projets pourront également s’accompagner du développement de capacités locales de production d’énergie renouvelable, notamment photovoltaïque, à proximité des sites autoroutiers.
Un nouveau cycle d’investissements et de concessions
Grâce à la puissance électrique supplémentaire mise à disposition, la SOFICO sera en mesure d’organiser progressivement une mise en concurrence des différents sites autoroutiers afin de désigner les futurs concessionnaires de services dans le cadre de la recharge électrique. Ces procédures seront lancées de manière progressive au cours des cinq prochaines années.
Chaque aire concédée (que ce soit pour des carburants fossiles, ou pour de la recharge électrique – véhicules légers et poids lourds, ou pour les deux) devra proposer des services conformes aux exigences du règlement AFIR et aux normes en vigueur en Wallonie en matière d’équipements et de services aux usagers. Cela inclut notamment des installations sanitaires, des services commerciaux, des dispositifs de sécurité renforcés ainsi que des infrastructures adaptées aux poids lourds.
De plus, à l’initiative du Ministre wallon de la Mobilité, le Gouvernement wallon a modifié en ce mois de mars l’Arrêté du Gouvernement wallon du 19 décembre 2013 relatif à la classification des aires autoroutières, permettant notamment l’installation d’infrastructures de recharge pour véhicules électriques sur les aires de type 3. Les aires les plus adaptées seront également concédées et devront fournir un service aux usagers (sanitaires, …).
Le développement de parkings sûrs et sécurisés pour les conducteurs de poids lourds, ainsi que l’augmentation du nombre d’emplacements disponibles, feront également partie des nouvelles obligations intégrées dans les concessions.
Une transition énergétique concrète sur les autoroutes wallonnes
Jusqu’à présent, le déploiement des bornes de recharge sur le réseau structurant reposait essentiellement sur les investissements des concessionnaires privés. Face aux exigences croissantes du règlement AFIR, en particulier pour la recharge haute puissance et les poids lourds, la SOFICO soutiendra désormais également les travaux nécessaires à l’acheminement de puissance vers les aires autoroutières dans le respect des objectifs AFIR.
Grâce à cette stratégie combinant investissements privés, coordination publique et renforcement du réseau électrique, la Wallonie se positionne pour atteindre l’ensemble des objectifs européens à l’horizon 2030 et accompagner la transition vers une mobilité plus durable.
La SOFICO participe d’ailleurs activement au Comité de projets « Électromobilité » mis en place par la Gouvernement wallon afin de structurer et d’anticiper le déploiement des bornes de recharge, de coordonner les acteurs et de proposer une stratégie ambitieuse et adaptée aux réalités de terrain.
